The crude e-waste recycling activities released a large amount of persistent organic pollutants, such as PCBs and PBDEs, into the soils posing a serious threat to the ecological environment and human health. Microbial degradation is an important way of PCBs dissipation. However, in practical application, the bioremediation of PCBs is challenged mainly due to reasons such as: limited degrading microbial species, available depending on the traditional culture and isolation method and the degraders that should own high resistance to the toxicity of high concentrations of heavy metals in the e-waste contaminated soil.
Recently, Dr. JIANG Longfei and Prof. LUO Chunling used 13C-biphenyl as a labeled compound and combined DNA stable isotope probing (DNA-SIP), a culture independent technology, with high-throughput sequencing, which offered high-resolution identification of the functional microbial communities and bphA genes, to explore the active biphenyl-utilizing bacteria in e-waste-contaminated soil from Qingyuan city.
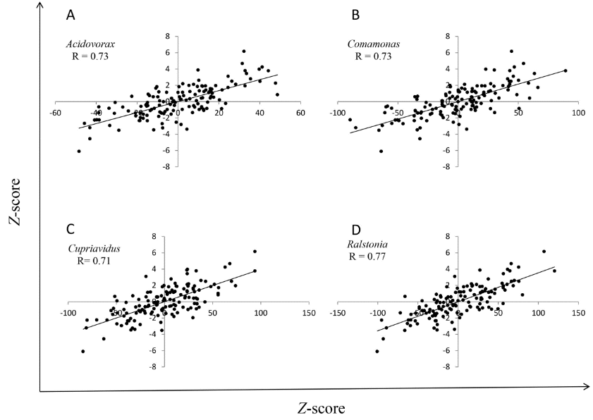
In this study, there were 21 OTUs including Ralstonia,Cupriavidus and DA101 identified as the PCBs degraders. Among them, Ralstonia and Cupriavidus were widely studied bacterium with a powerful ability to degrade organic pollutants. But the ability of PCBs degradation of DA101 was firstly reported. A 13.8 kb bph operon, containing a bphA gene labeled by 13C that was concentrated in the heavy DNA fraction, was amplified. To analyze the structure of the operon, the PCBs degradation mechanism was revealed (Figure 1) and the horizontal gene transfer ability of this operon was proved due to the existing of the transposase encoding gene. To fill the gap between functional microbes and genes, the tetranucleotide fingerprint features was employed as the bridge. The relationship between tetranucleotide fingerprint features of bph operon and specific bacteria were showed in Figure 2. It is found that the bph operon was originated from Ralstonia.

Figure 1. (A) Organization of the bph operon and (B) the proposed catabolic pathway for biphenyl (the model compound of PCBs).(Picture credit: Prof. LUO Chunling)

Figure 2. Relationships of tetranucleotide usage patterns between the bph operon and (A) Acidovorax, (B) Comamonas, (C) Cupriavidus, and (D) Ralstonia. (Picture credit: Prof. LUO Chunling)
This study gives us a deeper insight into the mediator of aerobic PCBs degradation in heavy-metal- and PCB-co-contaminated environments, as well as the functional genes, their probable regulatory mechanisms and the relationship between functional microbes and genes. It would be very meaningful in PCBs remediation
and gene resource discovery and application.
This study was supported by National Natural Science Foundation of China and the Scientific, Technological Planning Project of Guangzhou, China, and the Department of Science and Technology of Guangdong Province. And it has been published on Environmental Science & Technology.
Jiang L.F., Luo C.L.*, Zhang D.Y., Song M.K., Sun Y.T., Zhang G., 2018.Biphenyl-Metabolizing Microbial Community and a Functional Operon Revealed in E-Waste-Contaminated Soil. Environmental Science & Technology, 52, 8558-8567.
The website of this paper: https://pubs.acs.org/doi/abs/10.1021/acs.est.7b06647
Contact: Prof. LUO Chunling, clluo@gig.ac.cn